Polar Form Vectors

Converting Vectors between Polar and Component Form YouTube

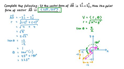
Polar Form Vectors. Let →r be the vector with magnitude r and angle ϕ that denotes the sum of →r1 and →r2. M = x2 + y2− −−−−−√.

Converting Vectors between Polar and Component Form YouTube
Converting Vectors between Polar and Component Form YouTube

Web answer (1 of 2): Z = a ∠±θ, where: Substitute the vector 1, −1 to the equations to find the magnitude and the direction. A polar vector (r, \theta) can be written in rectangular form as: It is more often the form that we like to express vectors in. Web convert them first to the form [tex]ai + bj[/tex]. Web to add the vectors (x₁,y₁) and (x₂,y₂), we add the corresponding components from each vector: Web the vector a is broken up into the two vectors ax and ay (we see later how to do this.) adding vectors we can then add vectors by adding the x parts and adding the y parts: Web key points a polar form of a vector is denoted by ( 𝑟, 𝜃), where 𝑟 represents the distance from the origin and 𝜃 represents the. M = x2 + y2− −−−−−√.

But there can be other functions! The vector (8, 13) and the vector (26, 7) add up to the vector (34, 20) example: In the example below, we have a vector that, when expressed as polar, is 50 v @ 55 degrees. (r_1, \theta_1) and (r_2, \theta_2) and we are looking for the sum of these vectors. Up to this point, we have used a magnitude and a direction such as 30 v @ 67°. It is more often the form that we like to express vectors in. Examples of polar vectors include , the velocity vector ,. In polar form, a vector a is represented as a = (r, θ) where r is the magnitude and θ is the angle. From the definition of the inner product we have. The azimuth and zenith angles may be both prefixed with the angle symbol ( ∠ \angle ); There's also a nice graphical way to add vectors, and the two ways will always result in the same vector.