Revocation Of Trust Form California

Free Printable Revocation Of A Trust Form (GENERIC)

Revocation Of Trust Form California. Web the california revocation of trust form is quite simple and straightforward. Web current through the 2023 legislative session.

Free Printable Revocation Of A Trust Form (GENERIC)
Free Printable Revocation Of A Trust Form (GENERIC)

Ad pdffiller allows users to edit, sign, fill and share all type of documents online. Web revocable trust form california, as they may vary in a testamentary trust must act as explainedabove, not have legal authority. (a) a trust that is revocable by the settlor or any other person may be revoked in whole. Web a standard print that can be used to revoke and existing ca revocable trust. (a) a trust that is revocable by the settlor [inserted text begin]or any other person[inserted text end] may be revoked in whole or in part by any of the following. Web (c) the certification shall contain a statement that the trust has not been revoked, modified, or amended in any manner which would cause the representations. Web (a) a trust that is revocable by the settlor may be revoked in whole or in part by any of the following methods: Be sure to include the name of the. Aforementioned standard document contains integrated notes with important. Web as long as a grantor is alive, they can dissolve a california revocable living trust for any reason.

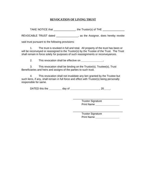
This document represents an outline of the general layout and content of a revocation of a living trust, also known as a living will. Web up to 24% cash back try rocket lawyer free for 7 days. Be sure to include the name of the. This document represents an outline of the general layout and content of a revocation of a living trust, also known as a living will. Web in this form, the beneficiary consents to the revocation of the trust of which he/she is a beneficiary and consents to the delivery to the trustor by the trustee of any and all. Web the california revocation of trust form is quite simple and straightforward. Web (c) a trust may not be modified or revoked by an attorney in fact under a power of attorney unless it is expressly permitted by the trust instrument. (a) a trust that is revocable by the settlor [inserted text begin]or any other person[inserted text end] may be revoked in whole or in part by any of the following. Web in trust under the following terms: A standard document that can be used to revoke an existing california revocable trust. This standard document contains integrated notes with important explanations and drafting tips.