Va Last Will And Testament Form

Virginia Last Will and Testament Template Download Printable PDF

Va Last Will And Testament Form. The questions refer to the veteran or beneficiary: What you should know about advance directives use this form to learn about your rights to accept or refuse medical treatment, and to complete a power of attorney for health care or.

Virginia Last Will and Testament Template Download Printable PDF
Virginia Last Will and Testament Template Download Printable PDF

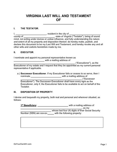
Effective april 1, 2021, bfcs is available for two years from the date the claim is paid. Web there are several online forms to create a free last will and testament in virginia. Web updated march 16, 2023. Web virginia last will and testament form author: If no, complete remaining items) note: The questions refer to the veteran or beneficiary: (if yes, see note below. What you should know about advance directives use this form to learn about your rights to accept or refuse medical treatment, and to complete a power of attorney for health care or. A last will and testament or will is a legal document that records how an individual (testator) chooses to distribute property, care for children, and make special wishes after their death. This includes 40 hours of personal counseling over the two years and access to the program’s online resources.

Web updated march 16, 2023. A last will and testament or will is a legal document that records how an individual (testator) chooses to distribute property, care for children, and make special wishes after their death. If there has been or will be an executor or administrator appointed, furnish letters testamentary or letters of. Web veterans can create a will free of charge with goodtrust. However, you might have to pay for lawyer fees, a notary, or legal advice if your assets are more complicated. Web (first, middle, last) 3. Web updated march 16, 2023. Web a sample virginia last will and testament with examples of each step. Do wills need to be notarized in virginia? What you should know about advance directives use this form to learn about your rights to accept or refuse medical treatment, and to complete a power of attorney for health care or. If no, complete remaining items) note: